关于单室模型静脉注射给药 单室模型静脉注射给药血药浓度公式为

作者: tihaiku 人气: - 评论: 0
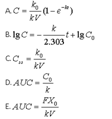
问题 关于单室模型静脉注射给药 单室模型静脉注射给药血药浓度公式为
选项
答案 B
解析 血药浓度用C表示,所以在选项AB中选择,选项A含有静滴速率常数k0,为单室模型静脉滴注给药血药浓度公式,选项B是单室模型静脉注射给药血药浓度公式。

相关内容:单室,模型,血药,浓度,公式

猜你喜欢

发表评论
更多 网友评论0 条评论)
暂无评论

Copyright © 2012-2014 恰考网 Inc. 保留所有权利。 Powered by tikuer.com

页面耗时0.0341秒, 内存占用1.04 MB, Cache:redis,访问数据库18次