关于单室模型静脉注射给药 单室模型静脉注射给药血药浓度-时间曲线下面积公式

作者: tihaiku 人气: - 评论: 0
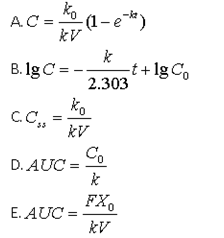
问题 关于单室模型静脉注射给药 单室模型静脉注射给药血药浓度-时间曲线下面积公式
选项
答案 D
解析 Css是稳态血药浓度,AUC是血药浓度-时间曲线下面积,所以在选项DE中选择,选项E中含有吸收系数F为单室模型血管外给药血药浓度-时间曲线下面积公式,选项D是单室模型静脉注射AUC公式。

相关内容:单室,模型,血药,浓度,时间,线下,面积,公式

猜你喜欢

发表评论
更多 网友评论0 条评论)
暂无评论

Copyright © 2012-2014 恰考网 Inc. 保留所有权利。 Powered by tikuer.com

页面耗时0.0343秒, 内存占用1.04 MB, Cache:redis,访问数据库18次