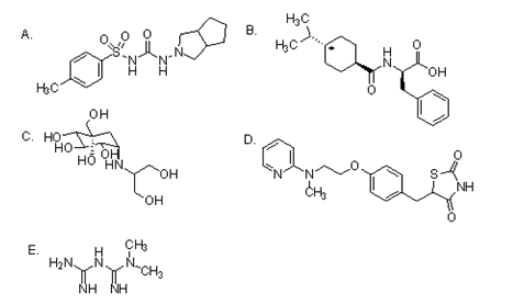
关于口服降糖药的结构式 属于磺酰脲类胰岛素分泌促进剂的是

作者: tihaiku 人气: - 评论: 0
问题 关于口服降糖药的结构式 属于磺酰脲类胰岛素分泌促进剂的是
选项
答案 A
解析

相关内容:口服,结构式,磺酰,脲类,胰岛素,促进剂

猜你喜欢

发表评论
更多 网友评论0 条评论)
暂无评论

Copyright © 2012-2014 恰考网 Inc. 保留所有权利。 Powered by tikuer.com

页面耗时0.0359秒, 内存占用1.04 MB, Cache:redis,访问数据库19次