关于口服降糖药的结构式 含双胍类结构母核,具有胰岛素增敏作用的口服降糖药是

作者: tihaiku 人气: - 评论: 0
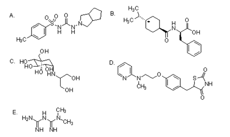
问题 关于口服降糖药的结构式 含双胍类结构母核,具有胰岛素增敏作用的口服降糖药是
选项
答案 E
解析 本组题考查降糖药的分类及基本结构特点。A是格列齐特;B是那格列奈;C是伏格列波糖;D是罗格列酮,E是二甲双胍。磺酰脲类胰岛素分泌促进剂是格列XX,二甲双胍是双胍类降血糖药。

相关内容:口服,结构式,含双,胍类,结构,母核,胰岛素,增敏

猜你喜欢

发表评论
更多 网友评论0 条评论)
暂无评论

Copyright © 2012-2014 恰考网 Inc. 保留所有权利。 Powered by tikuer.com

页面耗时0.0404秒, 内存占用1.05 MB, Cache:redis,访问数据库20次