含有氧桥结构,中枢作用较强,用于预防和治疗晕动症的药物是

作者: tihaiku 人气: - 评论: 0
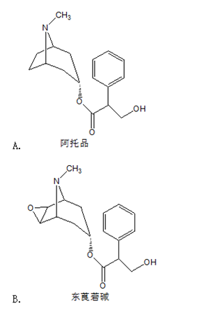
问题 含有氧桥结构,中枢作用较强,用于预防和治疗晕动症的药物是
选项
答案 B
解析 东莨菪碱含有氧桥结构,中枢作用较强,用于预防和治疗晕动症。

相关内容:结构,中枢,作用,治疗,晕动,药物

猜你喜欢

发表评论
更多 网友评论0 条评论)
暂无评论

Copyright © 2012-2014 恰考网 Inc. 保留所有权利。 Powered by tikuer.com

页面耗时0.0336秒, 内存占用1.04 MB, Cache:redis,访问数据库18次