含有季铵结构,不易进入中枢,降低了对中枢神经系统的作用,成为外周抗胆碱药的是

作者: tihaiku 人气: - 评论: 0
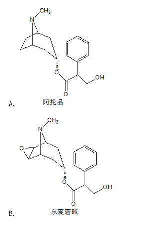
问题 含有季铵结构,不易进入中枢,降低了对中枢神经系统的作用,成为外周抗胆碱药的是
选项
答案 E
解析 丁溴东莨菪碱为东莨菪碱季铵化得到的药物,由于季铵离子难以进入中枢,降低了对中枢神经系统的作用,成为外周抗胆碱药。

相关内容:季铵,结构,中枢,作用,外周,抗胆,碱药

猜你喜欢

发表评论
更多 网友评论0 条评论)
暂无评论

Copyright © 2012-2014 恰考网 Inc. 保留所有权利。 Powered by tikuer.com

页面耗时0.0336秒, 内存占用1.04 MB, Cache:redis,访问数据库16次