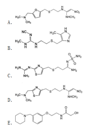
雷尼替丁的化学结构为

作者: tihaiku 人气: - 评论: 0
问题 雷尼替丁的化学结构为
选项
答案 A
解析 本组题考查药物的化学结构。C为法莫替丁,D为尼扎替丁,E为罗沙替丁。故本题答案应选A。

相关内容:雷尼替,化学,结构

猜你喜欢

发表评论
更多 网友评论0 条评论)
暂无评论

Copyright © 2012-2014 恰考网 Inc. 保留所有权利。 Powered by tikuer.com

页面耗时0.0246秒, 内存占用1.04 MB, Cache:redis,访问数据库16次