诺氟沙星的化学结构是

作者: tihaiku 人气: - 评论: 0
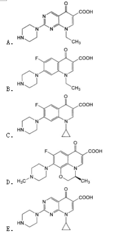
问题 诺氟沙星的化学结构是
选项
答案 B
解析 本组题考查诺氟沙星和环丙沙星的化学结构。诺氟沙星又名氟哌酸,6位有氟原子,7位为哌嗪环,3位羧基和4位酮羰基;环丙沙星,别名环丙氟哌酸,将诺氟沙星1位乙基换成环丙基为其特征。A为吡哌酸结构式。E为干扰答案。故本题答案应选B。

相关内容:诺氟,沙星,化学,结构

猜你喜欢

发表评论
更多 网友评论0 条评论)
暂无评论

Copyright © 2012-2014 恰考网 Inc. 保留所有权利。 Powered by tikuer.com

页面耗时0.0281秒, 内存占用1.04 MB, Cache:redis,访问数据库17次