单室模型静脉滴注的稳态血药浓度的关系式是

作者: tihaiku 人气: - 评论: 0
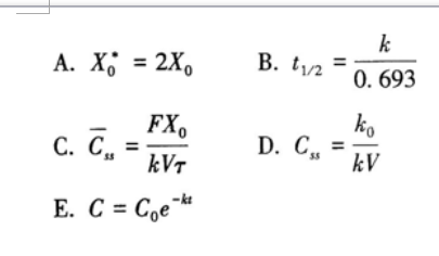
问题 单室模型静脉滴注的稳态血药浓度的关系式是
选项
答案 D
解析 本组题考查房室模

猜你喜欢

发表评论
更多 网友评论0 条评论)
暂无评论

Copyright © 2012-2014 恰考网 Inc. 保留所有权利。 Powered by tikuer.com

页面耗时0.0521秒, 内存占用1.03 MB, Cache:redis,访问数据库20次