问题: 1.何谓经济寿命? 2.如何根据磨损方程计算磨损寿命?1.经济寿命是指设备从投入使用到因继续使用不经济而退出使用所经历的时间。经济寿命受有形磨...

作者: tihaiku 人气: - 评论: 0
问题

问题:

1.何谓经济寿命?

2.如何根据磨损方程计算磨损寿命?

选项

1.经济寿命是指设备从投入使用到因继续使用不经济而退出使用所经历的时间。经济寿命受有形磨损和无形磨损的共同影响。

设备到了自然寿命的后期,由于设备的不断老化,必须支出的维修费用、能源消耗费用也越来越高,依据设备的维持费用来决定设备的更新周期即为设备的经济寿命。

2.对以磨损为主要失效形式的机器或零部件,可以按照以下方法计算剩余寿命:

(1)新机器或零部件的磨损寿命T为:

式中:Smax--最大磨损极限;

S0--初期磨损阶段结束时的磨损间隙;

tgα--磨损强度。

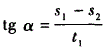
(2)在用机器设备的磨损寿命,应首先根据现有间隙S1、原始间隙S2以及运行时间t1,计算磨损强度:

然后,再根据磨损方程计算剩余寿命:

答案
解析

相关内容:问题,经济,寿命,根据,磨损,方程,设备,经历,时间

猜你喜欢

发表评论
更多 网友评论0 条评论)
暂无评论

访问排行

Copyright © 2012-2014 恰考网 Inc. 保留所有权利。 Powered by tikuer.com

页面耗时0.0640秒, 内存占用1.04 MB, Cache:redis,访问数据库14次