某工厂一台机床,拟对其进行技术改造。要求改造后经济寿命为8年。若寿命少于8年,则需在寿命周期内再次改造;若寿命大于8年,则因生产产品已无市场需求而机床的多...

作者: tihaiku 人气: - 评论: 0
问题

某工厂一台机床,拟对其进行技术改造。要求改造后经济寿命为8年。若寿命少于8年,则需在寿命周期内再次改造;若寿命大于8年,则因生产产品已无市场需求而机床的多余寿命无意义。目前设备净值为15000元;报废后设备残值为0;年利率为10%。

A方案:加装靠模装置,预计一次性投资2500元,靠模寿命周期为4年,年均维护费用为20000元,每小时加工44件产品。

B方案:加装数显装置,预计一次性投资15000元,数显装置寿命周期为9年,年均维护费用为14000元,每小时加工65件产品。

C方案:加装微机装置,预计一次性投资40000元,微机寿命周期为8年,年均维护费用为10000元,每小时加工83件产品。

问题:试比较三个技术方案的优劣。

选项

分析过程如下:

这三种方案的相同之处:

用三种方案改造设备后都能够满足所生产产品的要求及技术经济使用寿命。

不同之处在于:

(1)三种方案的投资额不同。

(2)三个改造装置的经济使用寿命不同:

①A方案靠模装置的寿命周期为4年,所以在第5年时还需进行第二次相同的技术改造。

寿命周期总费用的现值计算公式为:

②B方案数显装置的寿命周期为9年,多余的1年寿命无使用价值。

寿命周期总费用的现值计算公式为:

③C方案微机装置的寿命周期为8年。

寿命周期总费用的现值计算公式为:

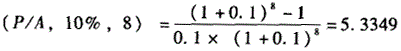
技术经济使用寿命为8年的等额系列现值系数为:

4年时的一次支付现值系数为:

各方案的系统效率和寿命费用列表如下:

比较表明:方案C费用效率最高,因此采用微机改造设备的方案经济效益最好。

答案
解析

相关内容:工厂,机床,技术改造,要求,改造,经济,寿命,周期内,生产,产品

猜你喜欢

发表评论
更多 网友评论0 条评论)
暂无评论

访问排行

Copyright © 2012-2014 恰考网 Inc. 保留所有权利。 Powered by tikuer.com

页面耗时0.0453秒, 内存占用1.05 MB, Cache:redis,访问数据库20次