甲企业持有乙企业发行的5年期到期一次还本付息债券,面值30万元,年利率5%,单利计息。评估基准日为2018年5月1日,此时甲企业已经持有这种债券1年。当时...

作者: tihaiku 人气: - 评论: 0
问题 甲企业持有乙企业发行的5年期到期一次还本付息债券,面值30万元,年利率5%,单利计息。评估基准日为2018年5月1日,此时甲企业已经持有这种债券1年。当时商业银行4年期存款利率为2.8%,乙企业的债券有一定的违约风险,风险报酬率为3.2%。请评估甲企业持有的乙企业债券在2018年5月1日的价值。
选项
答案
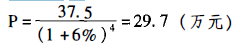
解析 到期本利和F==30×(1+5%×5)=37.5(万元) 折现率r==2.8%+3.2%=6% 则2018年5月1日债券评估价值为:

相关内容:企业,年期,到期,债券,面值,30万元,年利率,单利,评估,基准,2018年,当时

猜你喜欢

发表评论
更多 网友评论0 条评论)
暂无评论

访问排行

Copyright © 2012-2014 恰考网 Inc. 保留所有权利。 Powered by tikuer.com

页面耗时0.0449秒, 内存占用1.05 MB, Cache:redis,访问数据库20次