甲企业持有乙企业发行的优先股1000股,每股面值8元,股息率为15%0当前的国库券市场利率为8%,乙企业的风险报酬率为2%。甲企业打算3年后将这些优先股出...

作者: tihaiku 人气: - 评论: 0
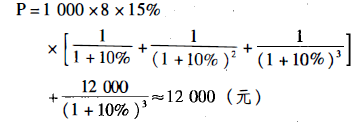
问题 甲企业持有乙企业发行的优先股1000股,每股面值8元,股息率为15%0当前的国库券市场利率为8%,乙企业的风险报酬率为2%。甲企业打算3年后将这些优先股出售,预计出售价格为12000元,出售时市场利率将与评估时相当。试评估该批优先股的价值。
选项
答案
解析 三年中的折现率=无风险利率+风险利率=8%+2%=10%,三年后出售 时的市场利率=8%+2%=10%。 优先股的评估值:

相关内容:企业,优先股,1000股,面值,股息率,国库券,市场,利率,风险,报酬率,打算

猜你喜欢

发表评论
更多 网友评论0 条评论)
暂无评论

访问排行

Copyright © 2012-2014 恰考网 Inc. 保留所有权利。 Powered by tikuer.com

页面耗时0.0487秒, 内存占用1.05 MB, Cache:redis,访问数据库20次