光明企业进行股份制改组,根据企业过去经营情况和未来市场形势,预期其未来5年的收益额分别是12万元、10万元、14万元、15万元和16万元,并假定从第6年开...

作者: rantiku 人气: - 评论: 0
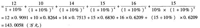
问题 光明企业进行股份制改组,根据企业过去经营情况和未来市场形势,预期其未来5年的收益额分别是12万元、10万元、14万元、15万元和16万元,并假定从第6年开始,以后各年的收益额均为15万元。根据银行利率及企业经营风险情况确定的折现率和资本化率均为10%。采用单项资产评估方法,评估确定该企业各单项资产评估之和(包括有形资产和可确指的无形资产)为110万元。 要求: 试确定该企业商誉的评估值。
选项
答案
解析 (1)运用收益法确定企业整体评估值: 企业整体评估值 (2)商誉的价值=143. 0058 - 110 =33.0058 (万元)

猜你喜欢

发表评论
更多 网友评论0 条评论)
暂无评论

访问排行

Copyright © 2012-2014 恰考网 Inc. 保留所有权利。 Powered by tikuer.com

页面耗时0.0477秒, 内存占用1.03 MB, Cache:redis,访问数据库20次