某待评估企业未来3年的预期收益分别为120万元、140万元和160万元,根据企业实 际情况推断,从第4年开始,企业的年预期收益额将在第3年的水平上以3%的...

作者: rantiku 人气: - 评论: 0
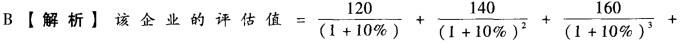
问题 某待评估企业未来3年的预期收益分别为120万元、140万元和160万元,根据企业实 际情况推断,从第4年开始,企业的年预期收益额将在第3年的水平上以3%的增长率保持增 长。假定折现率为10%,则该企业的评估值最接近于( )万元。 A. 2 053 B. 2 114 C. 2 350 D. 2 561
选项
答案 B
解析

猜你喜欢

发表评论
更多 网友评论0 条评论)
暂无评论

访问排行

Copyright © 2012-2014 恰考网 Inc. 保留所有权利。 Powered by tikuer.com

页面耗时0.0469秒, 内存占用1.03 MB, Cache:redis,访问数据库19次