评估某收益性资产,其评估基准日后第1年的预期收益为50万元,且经专业评估人员 测定认为,其后各年该资产的收益将以2%的比例递增,设定的折现率为10%,则该...

作者: rantiku 人气: - 评论: 0
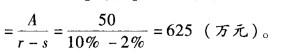
问题 评估某收益性资产,其评估基准日后第1年的预期收益为50万元,且经专业评估人员 测定认为,其后各年该资产的收益将以2%的比例递增,设定的折现率为10%,则该资产的评 估值最接近于( )万元。 A. 500 B. 555 C. 625 D. 650
选项
答案 C
解析 由于未来纯收益按等比级数递增,且收益年期无限,因此该资产的评估值P

猜你喜欢

发表评论
更多 网友评论0 条评论)
暂无评论

访问排行

Copyright © 2012-2014 恰考网 Inc. 保留所有权利。 Powered by tikuer.com

页面耗时0.0610秒, 内存占用1.03 MB, Cache:redis,访问数据库18次