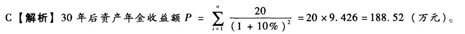
某收益性资产,使用年限为30年,年收益为20万元,折现率为10%,其评估价值最接 近于( )万元。A. 178 B. 180C. 188 D. 200

作者: rantiku 人气: - 评论: 0
问题 某收益性资产,使用年限为30年,年收益为20万元,折现率为10%,其评估价值最接 近于( )万元。 A. 178 B. 180 C. 188 D. 200
选项
答案 C
解析

猜你喜欢

发表评论
更多 网友评论0 条评论)
暂无评论

访问排行

Copyright © 2012-2014 恰考网 Inc. 保留所有权利。 Powered by tikuer.com

页面耗时0.0465秒, 内存占用1.03 MB, Cache:redis,访问数据库18次