某资产年金收益额为8500元,剩余使用年限为20年,假定折现率为10%,其评估值最接近( )元。A. 85 000 B. 72 366C. 12 ...

作者: rantiku 人气: - 评论: 0
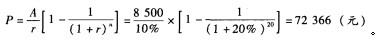
问题 某资产年金收益额为8500元,剩余使用年限为20年,假定折现率为10%,其评估值最接近( )元。 A. 85 000 B. 72 366 C. 12 631 D. 12 369
选项
答案 B
解析 在收益年期有限,资本化率大于零的条件下,收益年限为20年,因此,评估值

猜你喜欢

发表评论
更多 网友评论0 条评论)
暂无评论

访问排行

Copyright © 2012-2014 恰考网 Inc. 保留所有权利。 Powered by tikuer.com

页面耗时0.0486秒, 内存占用1.03 MB, Cache:redis,访问数据库20次