有一宗“七通一平”待开发建筑用地,面积为1 000平方米,使用期限为50年,容积率为5,拟开发建设写字楼,建设期为2年,建筑费用为3 500元/平方米,专...

作者: rantiku 人气: - 评论: 0
问题 有一宗“七通一平”待开发建筑用地,面积为1 000平方米,使用期限为50年,容积率为5,拟开发建设写字楼,建设期为2年,建筑费用为3 500元/平方米,专业费用为建 筑费用的10%,建筑费用和专业费用在整个建设期内均匀投入,写字楼建成后拟对外出租, 租金水平预计为2元/平方米?日,管理费用为年租金的2%,维修费用为建筑费用的1.5%, 保险费用为建筑费用的0.2%,税金为年租金的17.5%,贷款利率为6%,房地产综合还原 利率为7%,开发商要求的利润率为地价和开发成本(建筑费用+专业费用)之和的20%。 要求:试评估该宗地地价。(18分)
选项
答案
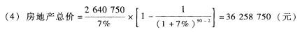
解析 (1)年总收益=2 x365 x1000 x5 =3 650 000 (元) (2)年总费用=3 650 000 X2% +3 500 x5 000 x (1.5% +0.2% ) +3 650 000 x 17. 5% =1 009 250 (元) (3)年纯收益=3 650 000 - 1 009 250 =2 640 750 (元) (5)测算建筑费及专业费=3 500 x (1 + 10% ) x5 000 = 19 250 000 (元) (6)利息=地价 X [(1 +6% )2 -1] +19 250 000 X [(1 +6% ) -1] =0. 1236 地价 + 1 155 000 (7)开发商利润=(地价 +19 250 000) X20% =0.2 地价 +3 850 000 (8)地价=房地产总价-建筑费用-专业费用-利息-利润 =36 258 750 - 19 250 000 -0. 1236 地价-1 155 000 -0. 2 地价-3 850 000 =9 069 016 (元)

猜你喜欢

发表评论
更多 网友评论0 条评论)
暂无评论

访问排行

Copyright © 2012-2014 恰考网 Inc. 保留所有权利。 Powered by tikuer.com

页面耗时0.0425秒, 内存占用1.04 MB, Cache:redis,访问数据库20次