某企业2008年被评估时,基本情况如下:(1)该企业未来5年预期净利润分别为100万元、110万元、120万元、120万元和130万元;(2)该企...

作者: rantiku 人气: - 评论: 0
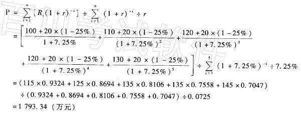
问题 某企业2008年被评估时,基本情况如下: (1)该企业未来5年预期净利润分别为100万元、110万元、120万元、120万元和130万元; (2)该企业适用的所得税税率为25%; (3)据查,评估基准日市场平均收益率为9%,无风险报酬率为4%,被评估企业所在行业的基准收益率为9%,企业的风险系数(β)为1.2; (4)该企业长期负债占投资资本的50%,平均长期负债利率为6%,未来5年中年平均长期负债利息额为20万元,年流动负债利息额为10万元; (5)被评估企业生产经营比较平稳,将长期经营下去。 要求:试用年金法评估该企业的投资资本价值。
选项
答案
解析 根据题意: 企业股权收益率:(9% -4%)x1.2+4% =10% 投资资本收益率:6% x (1 -25% ) x50% +10% x50% =7.25% 则投资资本价值:

猜你喜欢

发表评论
更多 网友评论0 条评论)
暂无评论

访问排行

Copyright © 2012-2014 恰考网 Inc. 保留所有权利。 Powered by tikuer.com

页面耗时0.0837秒, 内存占用1.03 MB, Cache:redis,访问数据库20次