对100本图书进行分组,价格10~15元有10本,组中值为12.5;价格15~20元有70本,组中值为17.5;20~25元有20本,组中值为22.5,加...

作者: rantiku 人气: - 评论: 0
问题 对100本图书进行分组,价格10~15元有10本,组中值为12.5;价格15~20元有70本,组中值为17.5;20~25元有20本,组中值为22.5,加权算术平均数为()。
选项 A:12.5 B:17.5 C:18 D:22.5
答案 C
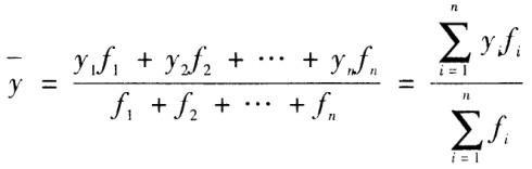
解析 设原始数据被分成K组,各组的组中值为X1,X2,…,XA,各组的频数分别为f1,f2…fn,加权算术平均数的计算公式为:。分组整理的数据应根据加权算术平均数计算,即加权算术平均数=18(元)。

猜你喜欢

发表评论
更多 网友评论0 条评论)
暂无评论
错误啦!

错误信息

  • 消息: [程序异常] : MISCONF Redis is configured to save RDB snapshots, but it's currently unable to persist to disk. Commands that may modify the data set are disabled, because this instance is configured to report errors during writes if RDB snapshotting fails (stop-writes-on-bgsave-error option). Please check the Redis logs for details about the RDB error.
  • 文件: /twcms/kongphp/cache/cache_redis.class.php
  • 位置: 第 85 行
    <?php echo 'KongPHP, Road to Jane.'; ?>