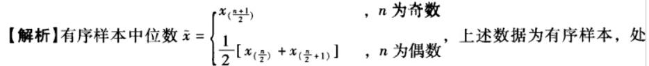
现有一组数据:2,3,4,4,5,5,5,5,6,6,7,7,8,共有13个数据,其样本中位数为( )。A. 4 B. 5 C. 5.5 D. 6

作者: rantiku 人气: - 评论: 0
问题 现有一组数据:2,3,4,4,5,5,5,5,6,6,7,7,8,共有13个数据,其样本中位数为( )。 A. 4 B. 5 C. 5.5 D. 6
选项
答案 B
解析 于中间位置的是第7个数据,即样本中位数为x(7) =5。

猜你喜欢

发表评论
更多 网友评论0 条评论)
暂无评论

访问排行

Copyright © 2012-2014 恰考网 Inc. 保留所有权利。 Powered by tikuer.com

页面耗时0.0470秒, 内存占用1.03 MB, Cache:redis,访问数据库18次