设X1,X2,…Xn是从某正态总体随机抽取的一个样本,在σ未知情况下,考察以下假设的检验问题:H0: μ=μ0,H1: μ≠μ0 则给定a下,该检验的拒绝...

作者: rantiku 人气: - 评论: 0
问题 设X1,X2,…Xn是从某正态总体随机抽取的一个样本,在σ未知情况下,考察以下假设的检验问题:H0: μ=μ0,H1: μ≠μ0 则给定a下,该检验的拒绝域为( )。
选项
答案 D
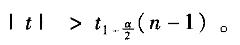
解析 在σ未知场合对正态均值作双侧假设检验时,其拒绝域应在t轴的两侧,具体是
发表评论
更多 网友评论0 条评论)
暂无评论

访问排行

Copyright © 2012-2014 恰考网 Inc. 保留所有权利。 Powered by tikuer.com

页面耗时0.0440秒, 内存占用1.03 MB, Cache:redis,访问数据库19次