某企业希望利用控制图对生产批量大、长期进行加工的轴外径尺寸进行监控,为此,首先确定了选用的控制图类型,并制定数据收集计划绘制分析用控制图。[2008年真题...

作者: rantiku 人气: - 评论: 0
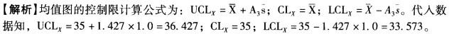
问题 某企业希望利用控制图对生产批量大、长期进行加工的轴外径尺寸进行监控,为此,首先确定了选用的控制图类型,并制定数据收集计划绘制分析用控制图。[2008年真题] A. UCL = 36. 427 B. CL =35 C. LCL =33. 573 D. UCL = 35. 427
选项
答案 ABC
解析

猜你喜欢

发表评论
更多 网友评论0 条评论)
暂无评论

访问排行

Copyright © 2012-2014 恰考网 Inc. 保留所有权利。 Powered by tikuer.com

页面耗时0.0391秒, 内存占用1.03 MB, Cache:redis,访问数据库20次