某企业希望利用控制图对生产批量大、长期进行加工的轴外径尺寸进行监控,为此,首先确定了选用的控制图类型,并制定数据收集计划绘制分析用控制图。[2008年真题...

作者: rantiku 人气: - 评论: 0
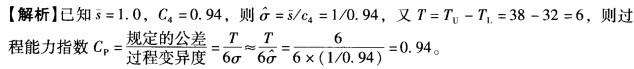
问题 某企业希望利用控制图对生产批量大、长期进行加工的轴外径尺寸进行监控,为此,首先确定了选用的控制图类型,并制定数据收集计划绘制分析用控制图。[2008年真题] 如果轴外尺寸要求为35 ±3.0mm,修偏系数C4 =0. 94,则过程能力指数Cp为( )。 A. 1.0 B. 0. 94 C. 0.5 D. 0.47
选项
答案 B
解析

猜你喜欢

发表评论
更多 网友评论0 条评论)
暂无评论

访问排行

Copyright © 2012-2014 恰考网 Inc. 保留所有权利。 Powered by tikuer.com

页面耗时0.0357秒, 内存占用1.03 MB, Cache:redis,访问数据库19次