某产品上不合格数X服从泊松分布P(λ),其中λ= 2,则下列各式中,正确的有()。A. E (X) =2 B.σ(X) =2C.Var...

作者: rantiku 人气: - 评论: 0
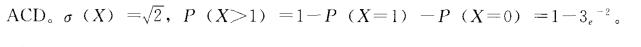
问题 某产品上不合格数X服从泊松分布P(λ),其中λ= 2,则下列各式中,正确的有()。 A. E (X) =2 B.σ(X) =2 C.Var (X) =2 D. P (X=l) =2e﹣2 E. P (X>1) =1-2e 2
选项
答案 ACD
解析

猜你喜欢

发表评论
更多 网友评论0 条评论)
暂无评论

访问排行

Copyright © 2012-2014 恰考网 Inc. 保留所有权利。 Powered by tikuer.com

页面耗时0.0347秒, 内存占用1.03 MB, Cache:redis,访问数据库20次