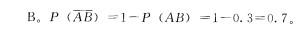
设 P(A)=0.8,P(A-B)=0.5,则P(AB)=( )。A. 0. 9 B. 0. 7C. 0. 5 D. 0. 3

作者: rantiku 人气: - 评论: 0
问题 设 P(A)=0.8,P(A-B)=0.5,则P(AB)=( )。 A. 0. 9 B. 0. 7 C. 0. 5 D. 0. 3
选项
答案 B
解析

猜你喜欢

发表评论
更多 网友评论0 条评论)
暂无评论

访问排行

Copyright © 2012-2014 恰考网 Inc. 保留所有权利。 Powered by tikuer.com

页面耗时0.0369秒, 内存占用1.03 MB, Cache:redis,访问数据库20次