工作人员收集了手表厂螺栓扭矩去年全年的监测数据,计算得样本标准差为5。工艺要求螺栓扭矩的规范上限是180,规范下限是140,则关于该过程的说法,正确的是(...

作者: rantiku 人气: - 评论: 0
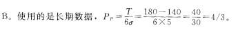
问题 工作人员收集了手表厂螺栓扭矩去年全年的监测数据,计算得样本标准差为5。工艺要求螺栓扭矩的规范上限是180,规范下限是140,则关于该过程的说法,正确的是( )。 A.过程能力指数为1. 33 B.过程性能指数为1. 33 C.过程处于统计控制状态 D.过程未处于统计控制状态
选项
答案 B
解析

猜你喜欢

发表评论
更多 网友评论0 条评论)
暂无评论

访问排行

Copyright © 2012-2014 恰考网 Inc. 保留所有权利。 Powered by tikuer.com

页面耗时0.0298秒, 内存占用1.03 MB, Cache:redis,访问数据库18次