由 10 对观测值(xi,yi),i=1,…,10,求得 Lxx=196,Lyy=144,Lxy=142,则下列计算结果中,正确的有( )。A.相关系...

作者: rantiku 人气: - 评论: 0
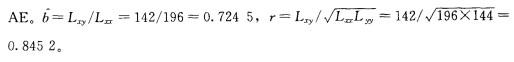
问题 由 10 对观测值(xi,yi),i=1,…,10,求得 Lxx=196,Lyy=144,Lxy=142,则下列计算结果中,正确的有( )。 A.相关系数为0. 845 2 B.相关系数为0. 724 5 C.相关系数为﹣0.845 2 D. y对的回归系数为0. 9861 E. y对x的回归系数为0.724 5
选项
答案 AE
解析

猜你喜欢

发表评论
更多 网友评论0 条评论)
暂无评论

访问排行

Copyright © 2012-2014 恰考网 Inc. 保留所有权利。 Powered by tikuer.com

页面耗时0.0363秒, 内存占用1.03 MB, Cache:redis,访问数据库19次