设三个事件A、B、C相互独立,某发生概率相等,都为2/3,则A、B、C中至少发生一个的概率为( )。A. 8/27 B. 1/27C.19/27 ...

作者: rantiku 人气: - 评论: 0
问题 设三个事件A、B、C相互独立,某发生概率相等,都为2/3,则A、B、C中至少发生一个的概率为( )。 A. 8/27 B. 1/27 C.19/27 D. 26/27
选项
答案 D
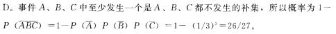
解析

猜你喜欢

发表评论
更多 网友评论0 条评论)
暂无评论

访问排行

Copyright © 2012-2014 恰考网 Inc. 保留所有权利。 Powered by tikuer.com

页面耗时0.0462秒, 内存占用1.03 MB, Cache:redis,访问数据库20次