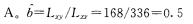
Y对X的回归系数b为( )。A. 0. 5 B. ﹣0. 5C. 0. 582 D. ﹣0. 582

作者: rantiku 人气: - 评论: 0
问题 Y对X的回归系数b为( )。 A. 0. 5 B. ﹣0. 5 C. 0. 582 D. ﹣0. 582
选项
答案 A
解析

猜你喜欢

发表评论
更多 网友评论0 条评论)
暂无评论

访问排行

Copyright © 2012-2014 恰考网 Inc. 保留所有权利。 Powered by tikuer.com

页面耗时0.0479秒, 内存占用1.03 MB, Cache:redis,访问数据库20次