下列因素中,对平均检出质量有影响的有( )。A.过程不合格品率 B.抽样方案的OC曲线C.检验人员数量 D.较大的样本E.检验费用

作者: rantiku 人气: - 评论: 0
问题 下列因素中,对平均检出质量有影响的有( )。 A.过程不合格品率 B.抽样方案的OC曲线 C.检验人员数量 D.较大的样本E.检验费用
选项
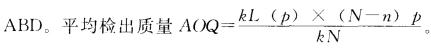
答案 ABD
解析

猜你喜欢

发表评论
更多 网友评论0 条评论)
暂无评论

访问排行

Copyright © 2012-2014 恰考网 Inc. 保留所有权利。 Powered by tikuer.com

页面耗时0.0404秒, 内存占用1.03 MB, Cache:redis,访问数据库20次