100件产品中有5件不合格品,现从中依次抽取2件,则第一次抽到合格品且第二次抽到不合格品的概率可表示为( )。

作者: rantiku 人气: - 评论: 0
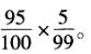
问题 100件产品中有5件不合格品,现从中依次抽取2件,则第一次抽到合格品且第二次抽到不合格品的概率可表示为( )。
选项
答案 C
解析 第一次抽取到的合格品是从100件中抽取95件合格品中的1件,第二次抽取到的不合格品是从剩下的99件中抽取5件不合格品中的1件,故第一次抽到合格品且第二次抽到不合格品的概率为:

猜你喜欢

发表评论
更多 网友评论0 条评论)
暂无评论

访问排行

Copyright © 2012-2014 恰考网 Inc. 保留所有权利。 Powered by tikuer.com

页面耗时0.0416秒, 内存占用1.03 MB, Cache:redis,访问数据库20次