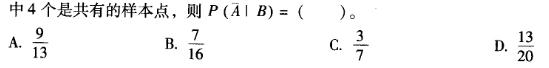
—样本空间含有25个等可能的样本点,而事件A与B各含有13个与7个样本点,其

作者: rantiku 人气: - 评论: 0
问题 —样本空间含有25个等可能的样本点,而事件A与B各含有13个与7个样本点,其
选项
答案 C
解析

猜你喜欢

发表评论
更多 网友评论0 条评论)
暂无评论

访问排行

Copyright © 2012-2014 恰考网 Inc. 保留所有权利。 Powered by tikuer.com

页面耗时0.0484秒, 内存占用1.03 MB, Cache:redis,访问数据库19次