甲箱中有5个正品,3个次品;乙箱中有4个正品,3个次品。从甲箱中任取3个产品放入乙箱,然后从乙箱中任取1个产品,则这个产品是正品的概率为( )。A. ...

作者: rantiku 人气: - 评论: 0
问题 甲箱中有5个正品,3个次品;乙箱中有4个正品,3个次品。从甲箱中任取3个产品放入乙箱,然后从乙箱中任取1个产品,则这个产品是正品的概率为( )。 A. 0. 176 B. 0. 2679 C. 0. 3342 D. 0. 5875
选项
答案 D
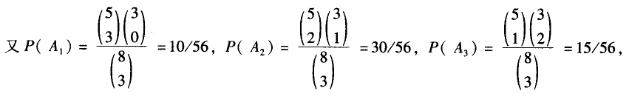
解析 设B={从乙箱中取得正品},A1={从甲箱中取出3个正品},A2={从甲箱中取出2个正品1个次品},A3={从甲箱中取出1个正品2个次品},A4 ={从甲箱中取出3 个次品},显然A1、A2、A3、A4都是互斥的,所以B=B(A1 + A2+ A3+ A4)。 P(B A1) =7/10,P(B A2) =6/10,P(B A3) =5/10,P(B A4) =4/10; 故P(B) =P(BA1+BA2 + BA3+ BA4) =P(A1)P(B A1) +P(A2)P(B A2) +P(A3)P (B A3) +P(A4)P(B A4) = (10/56) x (7/10) + (30/56) x (6/10) + (15/56) x (5/ 10) + (1/56) x (4/10) =0.5875。

猜你喜欢

发表评论
更多 网友评论0 条评论)
暂无评论

访问排行

Copyright © 2012-2014 恰考网 Inc. 保留所有权利。 Powered by tikuer.com

页面耗时0.0343秒, 内存占用1.03 MB, Cache:redis,访问数据库18次