2012年3月15曰,某儿童玩具生产厂在对儿童玩具车的36件产品进行检验时,发现有4件次品,今从这36件产品中任取3件。没有次品的概率为( )。A...

作者: rantiku 人气: - 评论: 0
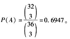
问题 2012年3月15曰,某儿童玩具生产厂在对儿童玩具车的36件产品进行检验时,发现有4件次品,今从这36件产品中任取3件。 没有次品的概率为( )。 A. 0.0001 B. 0.0269 C. 0.2778 D. 0.6947
选项
答案 D
解析

猜你喜欢

发表评论
更多 网友评论0 条评论)
暂无评论

访问排行

Copyright © 2012-2014 恰考网 Inc. 保留所有权利。 Powered by tikuer.com

页面耗时0.0423秒, 内存占用1.03 MB, Cache:redis,访问数据库20次