已知某五金公司生产的100件螺丝中有95件合格品,5件不合格品,现从中任意抽取5 件进行检查。抽出的5件至多有2件是不合格品的抽法有( )种。

作者: rantiku 人气: - 评论: 0
问题 已知某五金公司生产的100件螺丝中有95件合格品,5件不合格品,现从中任意抽取5 件进行检查。 抽出的5件至多有2件是不合格品的抽法有( )种。
选项
答案 D
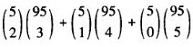
解析 至多有2件不合格品,可分解为有2件不合格品、1件不合格品或没有不合格品三种情况,即

猜你喜欢

发表评论
更多 网友评论0 条评论)
暂无评论

访问排行

Copyright © 2012-2014 恰考网 Inc. 保留所有权利。 Powered by tikuer.com

页面耗时0.0398秒, 内存占用1.03 MB, Cache:redis,访问数据库20次