对不可修复产品而言,平均故障前时间MITF为( )。

作者: rantiku 人气: - 评论: 0
问题 对不可修复产品而言,平均故障前时间MITF为( )。
选项
答案 C
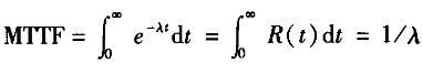
解析 对不可修复的产品,失效时间即是产品的寿命,故MITF也即为平均寿命。当产品的寿命服从指数分布时,平均故障前时间

猜你喜欢

发表评论
更多 网友评论0 条评论)
暂无评论

访问排行

Copyright © 2012-2014 恰考网 Inc. 保留所有权利。 Powered by tikuer.com

页面耗时0.0413秒, 内存占用1.03 MB, Cache:redis,访问数据库20次