某厂新生产了一批家电产品,已知故障的密度函数为f(t) = 0.002e-0.002t (单位:h),则:产品的可靠度为0. 9h的工作时间为( )。...

作者: rantiku 人气: - 评论: 0
问题 某厂新生产了一批家电产品,已知故障的密度函数为f(t) = 0.002e-0.002t (单位:h),则: 产品的可靠度为0. 9h的工作时间为( )。 A.小于40h B. 46. 37h C. 52. 68h D. 82. 4h
选项
答案 C
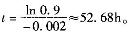
解析 产品的故障服从指数分布,此时可靠度为:R(t) =e-λt,则产品的可靠度R(t) =e-0.002t=0.9,两边同时取对数得-0.002t=ln0.9,故

猜你喜欢

发表评论
更多 网友评论0 条评论)
暂无评论

访问排行

Copyright © 2012-2014 恰考网 Inc. 保留所有权利。 Powered by tikuer.com

页面耗时0.0288秒, 内存占用1.03 MB, Cache:redis,访问数据库19次