一台设备由三个部件组成,各部件的寿命分布均服从指数分布,且各部件的失效率为每106h分别失效25次、30次、15次,若其中一个失效,设备也失效,则该设备工...

作者: rantiku 人气: - 评论: 0
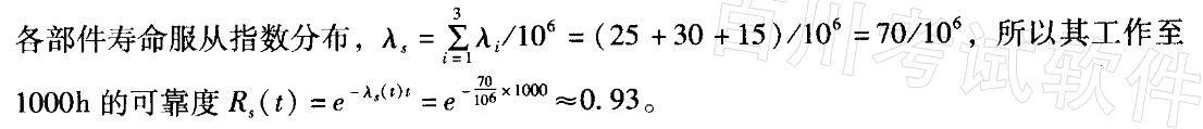
问题 一台设备由三个部件组成,各部件的寿命分布均服从指数分布,且各部件的失效率为每106h分别失效25次、30次、15次,若其中一个失效,设备也失效,则该设备工作1000h其可靠度为( )。 A. 0.63 B. 0.73 C. 0.83 D. 0.93
选项
答案 D
解析 因为一个部件失效设备就失效,说明各部件之间的功能逻辑关系是串联模型,当14.

猜你喜欢

发表评论
更多 网友评论0 条评论)
暂无评论

访问排行

Copyright © 2012-2014 恰考网 Inc. 保留所有权利。 Powered by tikuer.com

页面耗时0.0465秒, 内存占用1.03 MB, Cache:redis,访问数据库19次