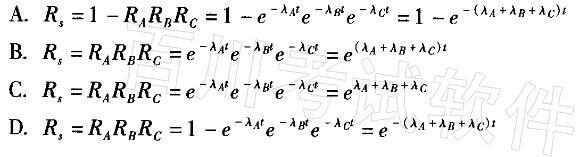
一个由单元A、单元B、单元C组成的串联系统,其寿命服从指数分布,3个单元的故障率分别为λA=0. 0006/h, λB =0. 002/h,λC=0.00...

作者: rantiku 人气: - 评论: 0
问题 一个由单元A、单元B、单元C组成的串联系统,其寿命服从指数分布,3个单元的故障率分别为λA=0. 0006/h, λB =0. 002/h,λC=0.0005/h,则: 系统的可靠性数学模型为()。
选项
答案 D
解析

猜你喜欢

发表评论
更多 网友评论0 条评论)
暂无评论

访问排行

Copyright © 2012-2014 恰考网 Inc. 保留所有权利。 Powered by tikuer.com

页面耗时0.0403秒, 内存占用1.03 MB, Cache:redis,访问数据库19次