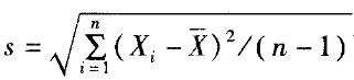
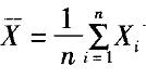
一样本由n个观察值组成,样本均值和样本标准差s都大于零,如果其中一个观察值等于样本均,现把该观察值样本除去,则下列各项正确的是( )。A.和s都变化 ...

作者: rantiku 人气: - 评论: 0
问题 一样本由n个观察值组成,样本均值和样本标准差s都大于零,如果其中一个观察值等于样本均,现把该观察值样本除去,则下列各项正确的是( )。 A.和s都变化 B.和s都不变 C. 不变,s增加 D. 不变,s减少
选项
答案 C
解析 若某一观察值Xi等于样本均值,由公式可知,除去该观察值样本 不变;则根据公式可知,除去该观察值样本,根号下分子不变,分母变小,s增加。

猜你喜欢

发表评论
更多 网友评论0 条评论)
暂无评论

访问排行

Copyright © 2012-2014 恰考网 Inc. 保留所有权利。 Powered by tikuer.com

页面耗时0.0364秒, 内存占用1.03 MB, Cache:redis,访问数据库20次