p 控制图的 n=25, UCL=0. 28, CL=0.10,LCL =-。若n改为100,则( )。A. UCL=0. 19 B. UCL =0....

作者: rantiku 人气: - 评论: 0
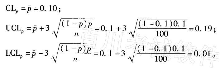
问题 p 控制图的 n=25, UCL=0. 28, CL=0.10,LCL =-。若n改为100,则( )。 A. UCL=0. 19 B. UCL =0.145 C. UCL = - D. LCL=0.01 E. CL =0.001
选项
答案 AD
解析 依据P控制图中控制限和中心线的计算公式,当n = 100时,进行如下计算:

猜你喜欢

发表评论
更多 网友评论0 条评论)
暂无评论

访问排行

Copyright © 2012-2014 恰考网 Inc. 保留所有权利。 Powered by tikuer.com

页面耗时0.0437秒, 内存占用1.03 MB, Cache:redis,访问数据库20次