单侧限过程能力指数的计算公式为( )。

作者: rantiku 人气: - 评论: 0
问题 单侧限过程能力指数的计算公式为( )。
选项
答案 D
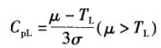
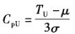
解析 若只有上限要求,而对下限没有要求,则过程能力指数计算公式为:(uu),其中,CpU为上单侧过程能力指数;若只有下限要求,而对上限没有要求,则过程能力指数计算为:,其中,CPL为下单侧过程能力指数。

猜你喜欢

发表评论
更多 网友评论0 条评论)
暂无评论

访问排行

Copyright © 2012-2014 恰考网 Inc. 保留所有权利。 Powered by tikuer.com

页面耗时0.0423秒, 内存占用1.03 MB, Cache:redis,访问数据库20次