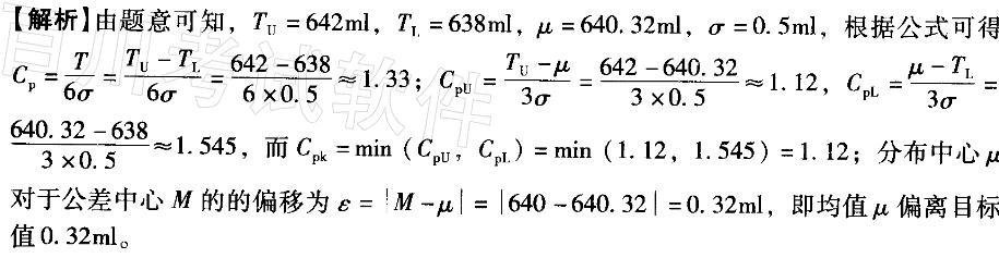
设一瓶啤酒的净含量为640 ± 2ml,生产出的一批瓶装啤酒的净含量X ~N2(640.32, 0.52),则这批啤酒净含量的( )。A. Cp = ...

作者: rantiku 人气: - 评论: 0
问题 设一瓶啤酒的净含量为640 ± 2ml,生产出的一批瓶装啤酒的净含量X ~N2(640.32, 0.52),则这批啤酒净含量的( )。 A. Cp = 1. .33 B. Cp =0.67 C. Cpk =1. 12 D. Cpk =1.33 E.均值偏离目标值0.32ml
选项
答案 ACE
解析

猜你喜欢

发表评论
更多 网友评论0 条评论)
暂无评论

访问排行

Copyright © 2012-2014 恰考网 Inc. 保留所有权利。 Powered by tikuer.com

页面耗时0.0931秒, 内存占用1.03 MB, Cache:redis,访问数据库19次