在双侧限有偏移情况下,过程能力指数Cpk的表达形式有( )。A. min (CpU, CpL) B. Cp(1+ K)D.Cp(1- K)E....

作者: rantiku 人气: - 评论: 0
问题 在双侧限有偏移情况下,过程能力指数Cpk的表达形式有( )。 A. min (CpU, CpL) B. Cp(1+ K) D.Cp(1- K) E. max (CpU,CpL)
选项
答案 ACD
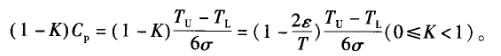
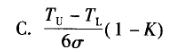
解析 产品质量特性值分布的均值u与公差中心M不重合,即有偏移时,不合格品率必然增大,Cp值降低。修正后的过程能力指数Cpk的计算公式为Cpk=min (CpU, CpL);若记分布中心u对于公差中心M的偏移ε= M-u ,则过程能力指数修正为:Cpk =

猜你喜欢

发表评论
更多 网友评论0 条评论)
暂无评论

访问排行

Copyright © 2012-2014 恰考网 Inc. 保留所有权利。 Powered by tikuer.com

页面耗时0.0250秒, 内存占用1.03 MB, Cache:redis,访问数据库14次