当工序有偏离时,提高Cpk的途径有( )。A-缩小公差 B.减少偏离量 C.降低离散度 D.适当加大公差E.减少UCL

作者: rantiku 人气: - 评论: 0
问题 当工序有偏离时,提高Cpk的途径有( )。 A-缩小公差 B.减少偏离量 C.降低离散度 D.适当加大公差 E.减少UCL
选项
答案 BCD
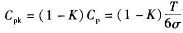
解析 由偏移条件下Cpk的计算公式可得,减小偏移量K、 降低离散程度σ,加大公差幅度T等均可使Cpk增大。

猜你喜欢

发表评论
更多 网友评论0 条评论)
暂无评论

访问排行

Copyright © 2012-2014 恰考网 Inc. 保留所有权利。 Powered by tikuer.com

页面耗时0.0273秒, 内存占用1.03 MB, Cache:redis,访问数据库19次