设电阻规范下限为950,规范上限为1050,则分析下列问题:一批电阻阻值取自正态总体N(100,22),记Φ(x)为标准正态分布的累积分布函数,则合格...

作者: rantiku 人气: - 评论: 0
问题 设电阻规范下限为950,规范上限为1050,则分析下列问题: 一批电阻阻值取自正态总体N(100,22),记Φ(x)为标准正态分布的累积分布函数,则合格品率为( )。 A. Φ(2.5) -Φ( -2.5) B.Φ(2.5) +Φ(2.5) C. 2Φ(2.5) D. 2Φ(2.5) -1
选项
答案 AD
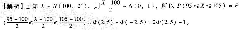
解析

猜你喜欢

发表评论
更多 网友评论0 条评论)
暂无评论

访问排行

Copyright © 2012-2014 恰考网 Inc. 保留所有权利。 Powered by tikuer.com

页面耗时0.0328秒, 内存占用1.03 MB, Cache:redis,访问数据库19次