某种规格的轴,其直径要求为18 ±0. 2mm。长期检验结果表明,其直径均值为μ= 18.05,标准差σ=0.05。该生产过程偏移系数欠为( )。...

作者: rantiku 人气: - 评论: 0
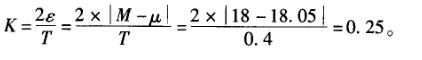
问题 某种规格的轴,其直径要求为18 ±0. 2mm。长期检验结果表明,其直径均值为μ= 18.05,标准差σ=0.05。 该生产过程偏移系数欠为( )。 A. 0.25 B. 0.4 C. 0.5 D. 1.0
选项
答案 A
解析 轴的直径要求属于有偏移过程的情况,偏移系数为:

猜你喜欢

发表评论
更多 网友评论0 条评论)
暂无评论

访问排行

Copyright © 2012-2014 恰考网 Inc. 保留所有权利。 Powered by tikuer.com

页面耗时0.0322秒, 内存占用1.03 MB, Cache:redis,访问数据库18次