已知某机械产品加工的过程能力指数Cp =1.67,Cpk =1.25。该过程的偏移系数K约为( )。A. 0.25 B. 0.4 C. 0.67 ...

作者: rantiku 人气: - 评论: 0
问题 已知某机械产品加工的过程能力指数Cp =1.67,Cpk =1.25。 该过程的偏移系数K约为( )。 A. 0.25 B. 0.4 C. 0.67 D. 1.0
选项
答案 A
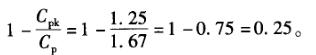
解析 在有偏移的情况下,过程能力指数Cp可修正为Cpk,且Cpk = (1-K)Cp,所以K=

猜你喜欢

发表评论
更多 网友评论0 条评论)
暂无评论

访问排行

Copyright © 2012-2014 恰考网 Inc. 保留所有权利。 Powered by tikuer.com

页面耗时0.0405秒, 内存占用1.03 MB, Cache:redis,访问数据库19次